首页·新闻·公棚·协会· 俱乐部 ·商城·论坛·鸽问·日记·分类·鸽业·鸽舍·图库·寻鸽·播客·APP·投稿·帮助· 会员区
中信网

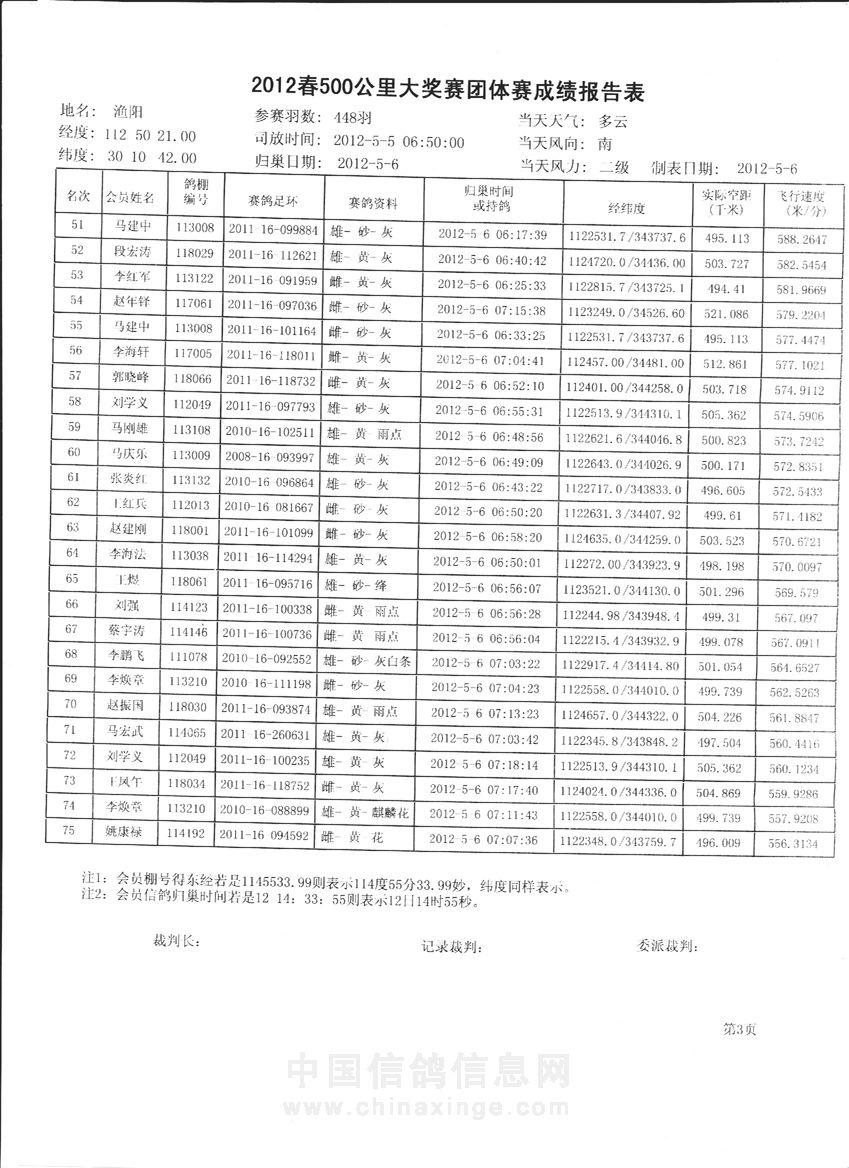
2010年春500公里大奖赛公布

2012-5-6 19:50:49 河南省洛阳市信鸽协会分享


   
 

 发布时间:2012-5-6 19:50:49 打印关闭窗口

 相关信息:
  • 公告 (2023-11-10 10:17:44)
  • 2023年春季竟训计划 (2023-3-30 8:47:36)
  • 2023年售环通知及秋季特比环规程 (2022-12-25 12:32:56)
  • 2022年秋季竟训计划 (2022-9-18 8:17:31)
  • 公 告 (2022-1-1 11:48:17)
  • 21年秋季省联翔(洛阳赛区)三关小团体排名 (2021-12-10 17:28:13)
  • 21年秋季省联翔(洛阳赛区)三关大团体排名 (2021-12-10 17:27:18)
  • 21年秋季特比环三关团体排名 (2021-12-10 17:26:23)
  • 2021年秋市协会(鑫驰)特比环三关排名 (2021-12-5 18:32:02)
  • 2021年秋市协会特比环三关排名 (2021-12-5 18:30:12)
  • 手机中信网

    首 页  │  推广方式  │  客服中心  │  加盟中心  │  意见建议  │  网站导航  │  APP下载

    Copyright © 2000-2025 www.ChinaXinge.com All Rights Reserved
    中国.深圳 电话:0755-28156678、28156809 传真:0755-28156678
    我要投稿 建议反馈及投诉
    《中华人民共和国增值电信业务经营许可证》ICP证编号:粤B2-20040374
    粤公网安备 44030902002110号