首页·新闻·公棚·协会· 俱乐部 ·商城·论坛·鸽问·日记·分类·鸽业·鸽舍·图库·寻鸽·播客·APP·投稿·帮助· 会员区
中信网

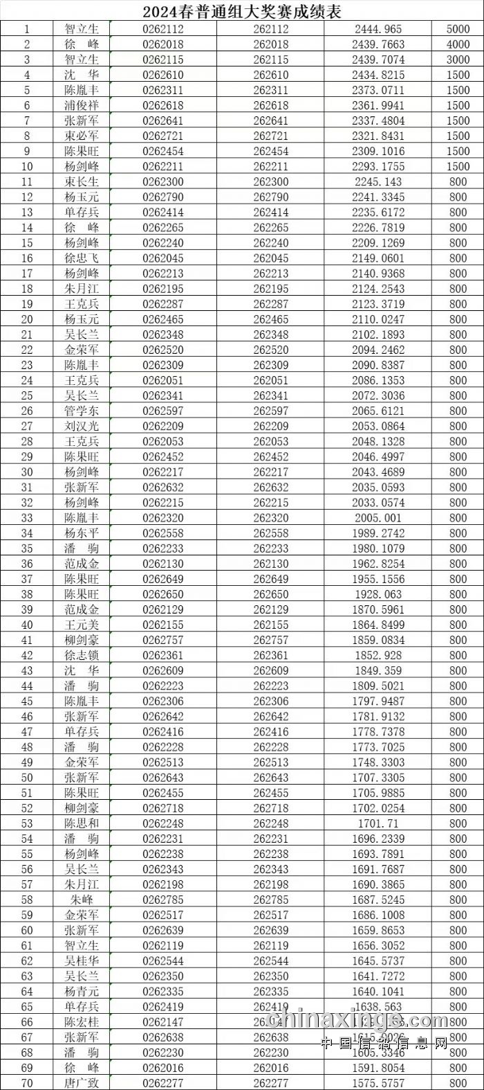
2024年春双关大奖赛获奖成绩表

2024-5-7 10:09:56 江苏盐城市大丰区信鸽协会分享



   
 

 发布时间:2024-5-7 10:09:56 刷新时间:2024-5-7 10:09:56 打印关闭窗口

 相关信息:
  • 大丰信鸽协会2026年秋特比环售环通知 (2026-1-5 16:58:38)
  • 大丰信鸽协会2025秋五关鸽王成绩表 (2025-11-27 21:09:51)
  • 大丰信鸽协会2025秋650公里成绩表 (2025-11-27 21:07:11)
  • 大丰信鸽协会2025秋600公里成绩表 (2025-11-24 16:29:55)
  • 大丰信鸽协会2025秋550公里成绩表 (2025-11-11 17:12:46)
  • 大丰信鸽协会2025秋350公里成绩表 (2025-11-7 11:15:23)
  • 大丰信鸽协会2025秋300公里成绩表 (2025-11-7 11:07:35)
  • 大丰信鸽协会2025秋200公里成绩表 (2025-10-21 15:08:37)
  • 大丰信鸽协会2025年秋竞赛规程 (2025-9-30 17:30:29)
  • 2025年秋大丰信鸽协会竞赛日程表 (2025-9-22 17:09:58)
  • 手机中信网

    首 页  │  推广方式  │  客服中心  │  加盟中心  │  意见建议  │  网站导航  │  APP下载

    Copyright © 2000-2026 www.ChinaXinge.com All Rights Reserved
    中国.深圳 电话:0755-28156678、28156809 传真:0755-28156678
    我要投稿 建议反馈及投诉
    《中华人民共和国增值电信业务经营许可证》ICP证编号:粤B2-20040374
    粤公网安备 44030902002110号