首页·新闻·公棚·协会· 俱乐部 ·商城·论坛·鸽问·日记·分类·鸽业·鸽舍·图库·寻鸽·播客·APP·投稿·帮助· 会员区
中信网

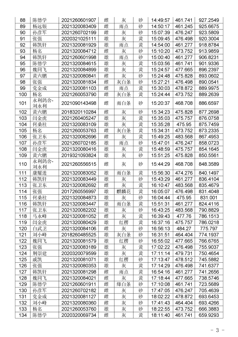
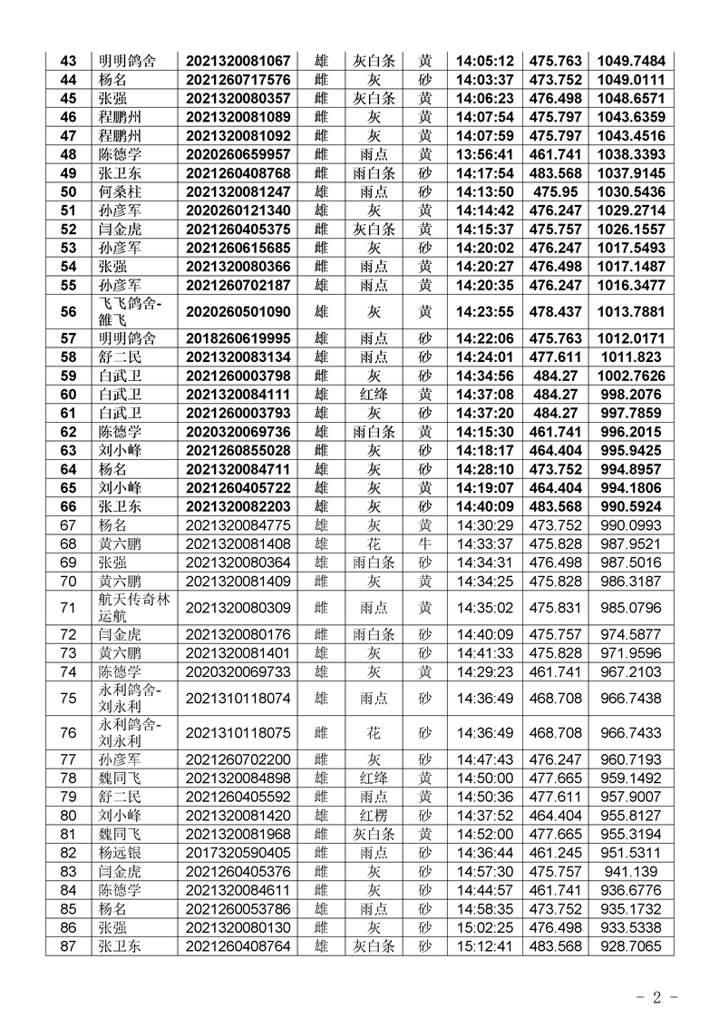
2022年春季500公里成绩单(取前66名)

2022-4-6 8:15:24 陕西省咸阳市铁路信鸽协会分享




, , , , , , , , , , , ,

   
 

 发布时间:2022-4-6 8:15:24 刷新时间:2022-4-6 8:15:24 打印发表评论】 【关闭窗口

 相关信息:
  • 咸阳铁路信鸽协会2024年秋季特比环双关暂排成绩 (2024-10-30 14:44:19)
  • 咸阳铁路信鸽协会2024年秋季第二关指定成绩 (2024-10-30 14:43:10)
  • 咸阳铁路信鸽协会2024年秋季第二关比赛成绩 (2024-10-30 14:41:47)
  • 2024年秋季特比第一关比赛成绩(无异议,三天后自动生效) (2024-10-17 9:59:49)
  • 2024年秋季第一关指定鸽成绩(无异议,三天后自动生效) (2024-10-17 9:57:08)
  • 2024年秋季第一关比赛成绩(无异议三天后自动生效) (2024-10-17 9:55:32)
  • 插组清单 (2024-10-11 9:46:39)
  • 360公里指定获奖单 (2024-10-11 9:28:15)
  • 2024年360公里资格赛成绩单 (2024-10-11 9:25:57)
  • 2024年秋季200公里测试赛成绩单 (2024-10-11 9:25:09)
  • 手机中信网

     相关评论: 我要评论

    本信息由各协会自行发布,随文评论的开关及管理归各协会自行管理。
    发表评论
    用 户:   *   匿名:
    验证码:     点击更换验证码 ( * 填入数字时注意用半角格式,验证码出错帮助)
    内 容:   *


    发表评论须知:
    1、严禁对个人、实体、民族、国家等进行漫骂、污蔑、诽谤;
    2、网友应自觉遵守《互联网电子公告服务管理规定》、《全国人大常委会关于维护互联网安全的决定》等国家各项相关法律法规及相关规则;
    3、网友应对所发布的信息承担全部责任;
    4、网站管理人员有权保留或删除评论中的信息内容;对于严重违反发表评论须知的网友,网站管理人员有权屏蔽其帐号;
    5、网站对发表评论须知保留变更及最终解释权;
    6、发表评论即表明已阅读并接受以上条款。

    回页顶
    首 页  │  推广方式  │  客服中心  │  加盟中心  │  意见建议  │  网站导航  │  APP下载

    Copyright © 2000-2026 www.ChinaXinge.com All Rights Reserved
    中国.深圳 电话:0755-28156678、28156809 传真:0755-28156678
    我要投稿 建议反馈及投诉
    《中华人民共和国增值电信业务经营许可证》ICP证编号:粤B2-20040374
    粤公网安备 44030902002110号