首页·新闻·公棚·协会· 俱乐部 ·商城·论坛·鸽问·日记·分类·鸽业·鸽舍·图库·寻鸽·播客·APP·投稿·帮助· 会员区
中信网

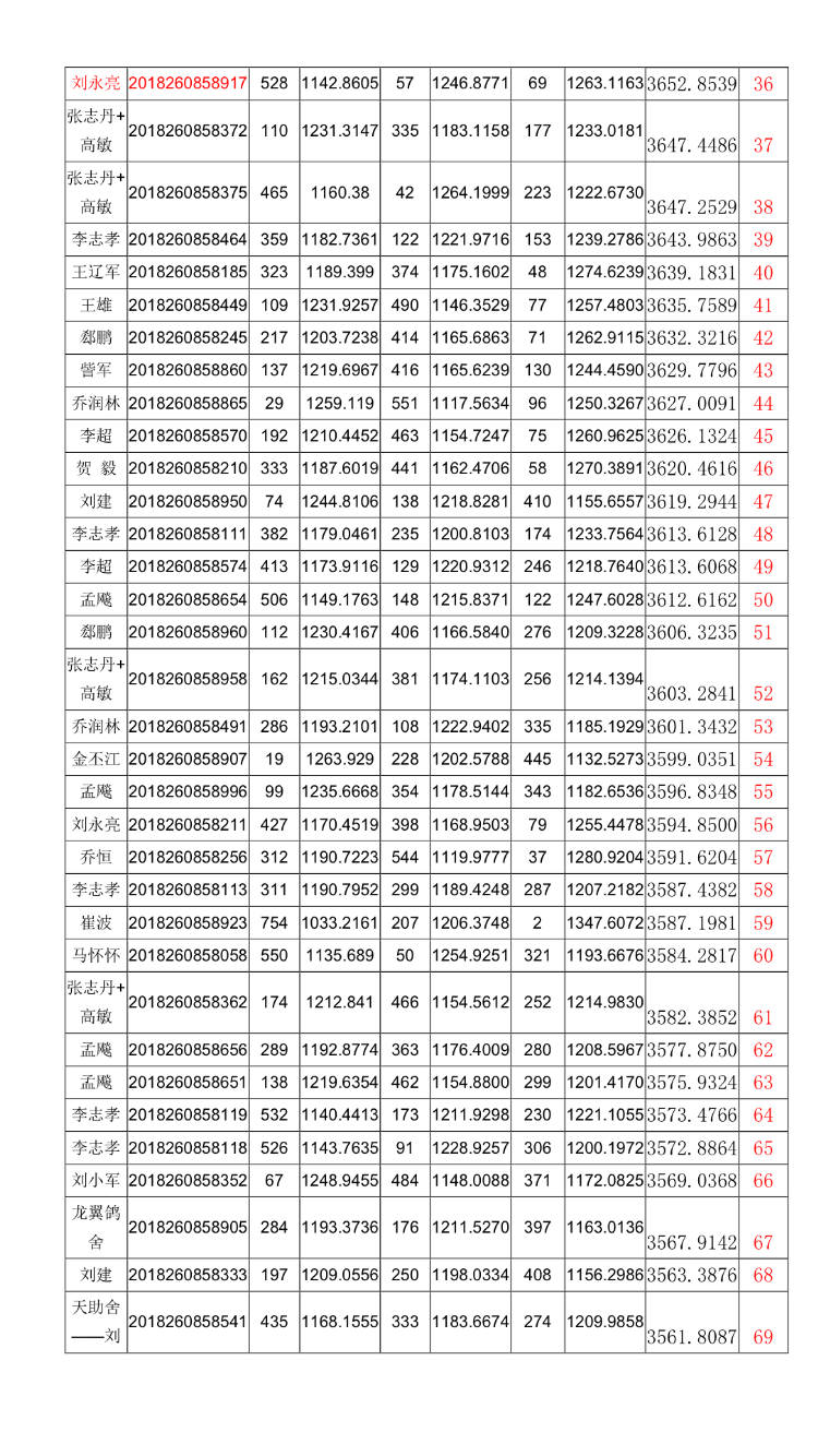
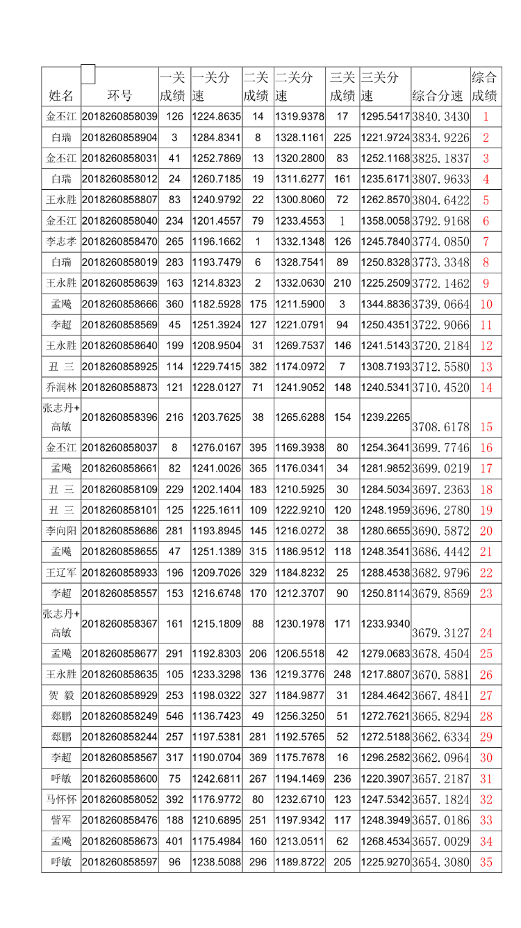
一百元特比入赏名单

2018-11-6 19:03:14 陕西省榆林市神木县信鸽协会分享


, , , , , , , , , , , , , , , , , , , , , , , , , , , , , , , , , , , ,

   
 

 发布时间:2018-11-6 19:03:14 刷新时间:2018-11-6 19:03:14 打印发表评论】 【关闭窗口

 相关信息:
  • 神木信鸽协会祝贺我市会员在榆林公棚中取得优秀成绩 (2022-11-7 21:54:49)
  • 2022联翔赛神木赛区第一关大特比环 前十名靓照欣赏 (2022-10-19 14:51:27)
  • 神木信鸽协会小特比奖金分配 (2022-10-16 20:47:42)
  • 陕西神木市信鸽协会抗击疫情捐助活动 (2022-9-2 9:29:36)
  • 2022神木市信鸽协会小特比环章程 (2022-2-9 11:21:44)
  • 俩市联翔300公里资格赛直播链接 (2021-10-2 12:28:18)
  • 神木市信鸽协会200公里测试赛直播网址 (2021-9-21 9:23:18)
  • 神木市信鸽协会200元特比环售环明细及奖金分配 (2021-9-14 9:55:10)
  • 2021神木鸽协训赛计划 (2021-8-19 17:36:18)
  • 2021秋俩市联翔赛三关特比规程 (2021-1-1 10:50:10)
  • 手机中信网

     相关评论: 我要评论

    本信息由各协会自行发布,随文评论的开关及管理归各协会自行管理。
    发表评论
    用 户:   *   匿名:
    验证码:     点击更换验证码 ( * 填入数字时注意用半角格式,验证码出错帮助)
    内 容:   *


    发表评论须知:
    1、严禁对个人、实体、民族、国家等进行漫骂、污蔑、诽谤;
    2、网友应自觉遵守《互联网电子公告服务管理规定》、《全国人大常委会关于维护互联网安全的决定》等国家各项相关法律法规及相关规则;
    3、网友应对所发布的信息承担全部责任;
    4、网站管理人员有权保留或删除评论中的信息内容;对于严重违反发表评论须知的网友,网站管理人员有权屏蔽其帐号;
    5、网站对发表评论须知保留变更及最终解释权;
    6、发表评论即表明已阅读并接受以上条款。

    回页顶
    首 页  │  推广方式  │  客服中心  │  加盟中心  │  意见建议  │  网站导航  │  APP下载

    Copyright © 2000-2026 www.ChinaXinge.com All Rights Reserved
    中国.深圳 电话:0755-28156678、28156809 传真:0755-28156678
    我要投稿 建议反馈及投诉
    《中华人民共和国增值电信业务经营许可证》ICP证编号:粤B2-20040374
    粤公网安备 44030902002110号