首页·新闻·公棚·协会· 俱乐部 ·商城·论坛·鸽问·日记·分类·鸽业·鸽舍·图库·寻鸽·播客·APP·投稿·帮助· 会员区
中信网

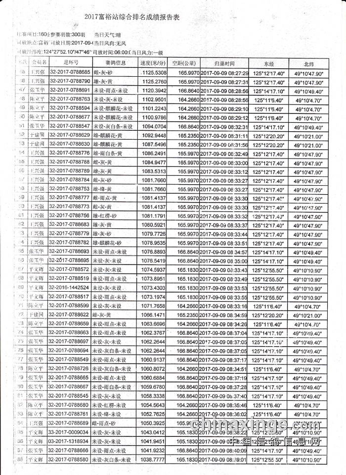
2017富裕站160公里比赛成绩

2017-11-6 15:17:38 黑龙江省嫩江县铁路信鸽协会分享



   
 

 发布时间:2017-11-6 15:17:38 刷新时间:2017-11-6 15:17:38 打印发表评论】 【关闭窗口

 相关信息:
  • 年肴 (2025-1-28 5:43:12)
  • 新年贺词 (2024-12-28 10:06:56)
  • 新年贺词 (2024-12-26 4:22:29)
  • 公告 (2024-3-25 13:18:37)
  • 通知 (2024-3-23 13:01:52)
  • 秋赛通知 (2023-4-20 10:04:01)
  • 2019年秋季特比环名单 (2019-10-30 11:16:04)
  • 2019秋季特比环双关比赛成绩 (2019-10-30 11:09:08)
  • 2019秋季500公里比赛成绩表 (2019-10-30 11:08:30)
  • 2019秋季300公里比赛成绩 (2019-10-30 11:08:00)
  • 手机中信网

     相关评论: 我要评论

    本信息由各协会自行发布,随文评论的开关及管理归各协会自行管理。
    发表评论
    用 户:   *   匿名:
    验证码:     点击更换验证码 ( * 填入数字时注意用半角格式,验证码出错帮助)
    内 容:   *


    发表评论须知:
    1、严禁对个人、实体、民族、国家等进行漫骂、污蔑、诽谤;
    2、网友应自觉遵守《互联网电子公告服务管理规定》、《全国人大常委会关于维护互联网安全的决定》等国家各项相关法律法规及相关规则;
    3、网友应对所发布的信息承担全部责任;
    4、网站管理人员有权保留或删除评论中的信息内容;对于严重违反发表评论须知的网友,网站管理人员有权屏蔽其帐号;
    5、网站对发表评论须知保留变更及最终解释权;
    6、发表评论即表明已阅读并接受以上条款。

    回页顶
    首 页  │  推广方式  │  客服中心  │  加盟中心  │  意见建议  │  网站导航  │  APP下载

    Copyright © 2000-2025 www.ChinaXinge.com All Rights Reserved
    中国.深圳 电话:0755-28156678、28156809 传真:0755-28156678
    我要投稿 建议反馈及投诉
    《中华人民共和国增值电信业务经营许可证》ICP证编号:粤B2-20040374
    粤公网安备 44030902002110号